ПРИЛОЖЕНИЯ 

1. Данные о форшоках и афтершоках с М ³ 6 сильнейших  камчатских, курильских  и японских  землетрясений ХХ в.

В примечании в таблицах указан источник информации о проведении границы очага.

Таблица П.1.1.

Камчатские 1904-1980 гг. землетрясения

№ пп

     Дата      час. мин.    j0        l0         Н      М

                                     с.ш.      в.д.    км

   Примечание

 

1

 

2

 

3

 

 

4

 

 

5

 

 

6

 

 

7

 

8

 

9

 

 25.06.1904   14   45    52,0     159,0    30     7,7

25.061904    21   00    52,0     159,0    30     7,7

27.06.1904   00   09    52,0     159,0    30     7,3

01.05.1915   05   00    48,4     155,5    30     8,3

03.05.1915   03   14    47,0     155,5    40     6,5

30.01.1917   02   45    55,2     164,5    20     8,1

30.01.1917   08   03    54,0     164,5             6,8

02.02.1923   05   07    52,5     160,5    20     7,0

03.02.1923   16   01    53,0     161,0    20     8,5

03.02.1923   18   42    54,0     161,0             6,1

12.11.1923   01   58    55,5     162,5             6,6

24.11.1923   07   34    55,0     162,4    20     7,7

13.04.1923   15   30    55,4     162,8    20     7,3

04.04.1952   02   52    52,4     160,2    70     6,8

04.11.1952   16   58    52,3     161,0    20     8,5

29.11.1952   08   22    52,8     159,2    40     7,3

15.08.1958   19   55    53,2     161,0    20     6,8

04.05.1959   07   15    53,1     160,3    20     7,6

18.06.1959   15   31    53,9     160,5    15     7,0

22.11.1969   23   09    57,7     163,5    25     7,7

23.12.1969   13   22    57,4     163,2    10     5,9

15.12.1971   15   08    55,9     163,4    25     7,8

17.12.1971   19   06    55,5     163,8    30     6,3

форшок

[206]

афтершок

[206, 209]

афтершок

[22]

афтершок

форшок

[22]

афтершок

форшок

[22]

афтершок

форшок?

[24, 57]

афтершок

форшок

[22]

афтершок

[211]

афтершок

[24, 211]

афтершок

 

Таблица П.1.2.

Курильские 1952–1978 землетрясения 

№ пп

     Дата      час. мин.    j0        l0         Н       М

                     (ч.м.с.)    с.ш.      в.д.     км

   Примечание

 

1

 

 

2

 

 

3

 

 

4

 

 

5

 

6

 

 

7

01.03.1952   15   30    41,8     144,4    40     6,0

04.03.1952   01   22    41,9     143,7    50     8,3

09.03.1952   17   03    41,7     143,5    40     7,2

27.09.1952   19   05    51,1     157,5    50     6,0

04.11.1952   16   58   (50,0)  (156,5)           (8,0)

11.10.1953   13   08    49,8     156,0    70      7,4 

21.07.1958   07   25    44,2     147,8    66      6,1

06.11.1958   22   58    44,5     148,5    40      8,2

12.11.1958   20   23    44,4     148,7    40      7,4

12.10.1963   11   26    44,7     149,1    50      7,2

13.10.1963   05   17    44,3     149,8    33      8,1

20.10.1963   00   53    44,8     150,2    60      7,4

11.08.1969 (21 27 27)43,6     147,4    27      7,4

11.08.1969 (21 27 36)43,6     147,8    40      8,2

11.08.1969 (21 27 41)43,6     147,2    38      7,8

17.06.1973   03   55    43,2     145,9    55      7,9

24.06.1973   02   43    43,4     146,5    57      7,4

23.03.1978   03   15    43,9     148,9    40      7,8

24.03.1978   19   47    43,9     149,1    30      8,0

25.03.1978   23   52    43,7     148,6    47      6,0

форшок

[23, 206]

афтершок

форшок?

[22, 58]

афтершок

форшок

[23, 211]

афтершок

форшок

[23, 211]

афтершок

форшок

[23, 211]

афтершок

[23, 211]

афтершок

форшок

[23, 211]

афтершок

 Таблица П.1.3.

Японские 1923–1968 гг. земетрясения

№ пп

     Дата      час. мин.    j0        l0         Н       М

                                     с.ш.      в.д.     км

   Примечание

1

 

2

 

 

3

 

4

 

 

5

 

6

 

7

 

 

 

8

01.09.1923   02   58    35,3     139,3    30     8,2

02.09.1923   02   47    35,0     139,5    20     7,3

09.03.1931   12   49    41,2     142,5     0      7,6

10.03.1931   02   56    40,6     143,0     60    6,1

07.01.1933   13   07    40,0     144,5     20    6,8

03.03.1933   02   31    39,2     144,5     10    8,3

03.03.1933   05   42    39,8     144,3     40    6,8

03.11.1936   05   46    38,2     142,2     60    7,7

27.07.1937   04   56    38,3     142,1     40    7,1

23.05.1938   16   18    36,7     141,6     10    7,1

05.11.1938   17   43    36,1     141,7     20    7,7

05.11.1938   19   50    37,2     141,7     15    7,6

07.12.1944   13   35    33,7     136,2     30    8,0

13.01.1945   03   38    34,7     137,0      0     7,1

21.12.1946   04   19    33,0     135,6     30    8,1

21.12.1946   07   45    33,3     135,2      0     6,3

26.11.1953   02   49    34,2     141,8    68     7,5

26.11.1953   09   03    34,4     141,8    50     6,6

16.05.1968   09   48    40,7     143,6      0     7,9

16.05.1969   19   39    41,4     142,9     40    7,5

[23, 28, 40, 205]

афтершок

[23]

афтершок

форшок

[23]

афтершок

[23]

афтершок

форшок

[23]

афтершок

[23, 28, 42]

афтершок

[23, 28, 42]

афтершок

[23]

афтершок

[23, 211]

афтершок

 

2. Данные о скоростях миграции землетрясений, скоростях вспарывания, мультиплетности главных толчков и скоростях движения земной коры и сопровождавших их сейсмических явлениях

Таблица П.2.1.

Данные о скоростях миграции тихоокеанских землетрясений

 

 

   V

км/год

  М0

  N

        DT

       годы

      Регион

Исто-чник

1

     2

   3

   4

         5

            6

   7

1

2

3

4

5

6

7

8

9

10

11

12

13

14

15

16

17

18

19

20

21

22

23

24

25

26

27

150-270

    222

250±30

     95

     41    

     50

     60

     80

     38

     10

      5

     86

     65

     53

     34

    130

    122

      11

     45

   357

30(10-50)

     3,3

     2,5

     8,6

  70±20

     2,3

      2

7,5-8,3

   7,9

7,7±0,2

    7,7

    7,7

   7,5

   7,3

   7,2

   7,0

   7,0

   7,0

   6,5

   6,5

   6,5

   6,5

   6,0

    6,0

    6,0

    5,6

    5,0

5(4-6)

    5,0

    5,0

    4,5

    4,0

    2,4

    » 2

»100

   39

   72

 

   28

    5

   14

     7

   32

   21

  

   74

   22

   63

   50

 

   34

   23

   75

   10

 

   27

 

 

 

    6

 »200

1897-1967

1904-1969

1904-1985

 

1897-1952

1934-1955

1830-1970

1939-1957

1904-1969

1570-1960

1915-1982

1900-1970

1910-1972

1910-1970

1910-1970

1852-1987

1930-1935

1934-1972

1904-1977

1972-1974

1923-1983

1934-1972

1905-1930

 

30.9.1977, рой

6.8.1979, афтер.

1961-1969

Тихий океан

с-з Тих. океана

с-з Тих. океана

Южная Америка

Рюкю-Филлип.

Филлипины

Северная Америка

Япония

Камчатка

Чили: 300-460

Япония

Панама

Кермадек

Чили

Калифорния

Калифорния

Cанрику

Сан-Андреас

Новая Зеландия

Центр. Америка

Япония

Сан-Андреас

Центр о. Хонсю

Новая Зеландия

Япония, М=4,0

Калифорния, М=5,9

Центр. Камчатка

 [312]

  [61]

(2.3.2)

 [255]

  [61]

 [317]

 [347]

 [347]

  [61]

 [294]

 [361]

  [59]

  [61]

  [59]

  [59]

 [247]

 [312]

  [61]

  [61]

  [61]

 [388]

 [382]

 [372]

 [376]

 [329]

 [373]

 [203]

Приложение: N - число землетрясений с М ³М0 в пределах рассматриваемых регионов в течение обозначенных интервалов времени DТ, по которым определялись значения скоростей их миграции V.

Таблица П.2.2. 

Данные о скоростях миграции форшоков и   афтершоков в очагах

сильных тихоокеанских землетрясений

 

V

км/год

М0

N

Землетрясение, регион

Продолжитель-

ность процесса

Источ-

ник

1

     2

   3

  4

                    5

             6

     7

1

2

3

4

5

6

7

8

9

10

11

3,5×106

5,2×105

2,2×105

3,7×104

7,4×104

   2×105

 1,7×103

 2,2×104

    7×104

    4×104

   365

   7,0

   6,0

   5,5

  4,0

   4,0

   3,8

   3,3

  3,0

  2-3

  1,5

<1(?)

 9

 6

 21

»20

>10

  4

  5

 26

>20

 60

 9.3.1959,  М=7,9, Алеуты

27.3.1964, M=8,3, Аляска

20.5.1960, M=8,3, Чили

7.12.1944, М=8,0, Тонанкай

21.12.1946,М=8,1, Нанкай

  1. 1. 1996,  М=7,0, Камчатка

9.2.1971,М=6,8,С-Фернандо

  9.2.1971,М=6,8,С-Фернандо

  29.11.1978,М=7,9, Мексика

 1.1. 1996,  М=7,0, Камчатка

Сильные з-ия, Калифорния*

 

фор-афтер. 9 час

афтер. 10 часов

фор-афт 1дня

афтер. 1 месяца

афтер. 1 недели

форшоки 4 часов

афтер. 7 недель

афт. первые часы

форшоки 1 дня

форшоки 4 часов

сильные  афтерш.

   [313]

[313, 61]

[313, 61]

   [388]

   [388]

    [71]

    [61]

    [61]

[296, 375]

     [71]

    [285]

 

Примечание: см. таблицу П.2.1.

 *) анализировались многолетние мировой и региональные каталоги землетрясений; «фор», «афтер»-форшоки и афтершоки соответственно.

 Таблица П.2.3.

 Данные о скоростях миграции землетрясений в регионах планеты

 

V

км/год

М0

N

DT

годы

Регион

Источник

1

2

3

4

5

6

7

1

2

3

4

5

6

7

8

9

10

11

12

13

14

15

16

17

18

19

20

21

22

22

23

    35

    250

    230

     80

    110    

     1-6

     12

     10

  10 - 40

     15

    3 - 40

      30

     3,3

     1,6

     40

     50

     12

     1,0

      0,8

      18

     30

     33

        9    

      11

 »8,0

   7,5

   7,5

    7,0

   6-7

   6,5

   6,0

   6,0

   5,9

   5,5

   5,0

   5,0

   5,0

   5,0

5(4-5)

   4,5

   4,5

   4,5

   4,0

   3,5

   2,3

   1,0

    » 1   

     0

   8

   21

    9

 

   28

   

    8

    15

   34

   21

 »100

     3 

   27

   11

   22

   77

  

   32

   56

   27

  

  

 300

1880-1990

1935-1964

1939-1950

1930-1960

1966-1975

 

1940-1970

1939-1990

1910-1976

1905-1988

1870-1990

1986-1988

1934-1972

1853-1972

1951-1989

1788-1989

1986-1988

1853-1972

1853-1972

1948-1979

1905-1982

1973-1979

1948-1979

Трансатлант. пояс

Альпийский пояс

Турция

Турция

Китай

Средняя Азия

Турция-Греция

Турция-Кавказ

Турция

Турция-Кавказ

Фергана

Гарм, Ср. Азия

Калифорния

Крым

Калифорния

Австралия

Спитак

Крым

Крым

Ашхабад

Средняя Азия

Юг Средней Азии

Ашхабад

Душанбе

[204]

[312]

[188]

[312, 347]

[349]

[311,150]

[188]

[188]

[256, 331, 370]

[164]

[204]

[188]

[382]

[163]

[142]

[32]

[164]

[163]

[163]

[7]

[144]

[122]

[7]

[107]

24

25

26

 

 

 

 

27

28

 4,4×103

103 - 104

103 - 104

  

 

 

 

     105

     500

  7,0

  6,3

 

 

 

 

 

  6,0

  2,6

 

 

 

 

 

 

 

    6

1980-1981

1980-1981

1833-1980

 

 

 

 

1962

сентябрь 1972

Альпийский пояс

Азорские о-ва-Иран

Турция, Гималаи,

Юг Европы, фор-шоки и афтершоки в очагах сильных землетрясений

Турция-Бирма

Исландия

[311]

[311]

[284]

 

 

 

 

[13]

[299]

Примечание: см.  таблицу П.2.1.

 Таблица П.2.4.

Данные о мультиплетности главных толчков и скорости вспарывания в их очагах для сильных землетрясений в пределах окраины Тихого океана

(1-13) и других (14-20) регионов

 

   V

 км/с

  N

        Землетрясение, регион

                    Источник

1

    2

   3

                        4

 5

1

2

3

4

5

6

7

8

9

10

11

12

13

   3,5

   3,5

 

   3,5

 0,7-2

 

   3,8

   4,0

   2,8

 

   1,6

   1,5

³ 2

неск.

неск.

   6

неск.

неск.

   1

   1

   1

неск.

   1

   1

 2-3

4.11.1952, М=8,5, Камчатка

21. 5.1960, М=8,3, Чили

13.10.1963, М=8,1, Курилы

28.  3.1964, М=8,3, Аляска

28.  3.1964, М=8,3, Аляска

4.   2.1965, М=8,5, Алеуты

31.  7.1970, M=7,1, Колумбия

30. 8.1970, М=7,0, Охотское море

  9. 2.1971, M=6,8, Сан-Фернандо

 4.   2.1976, М=7,5, Гватемала

28.  4.1979, М=4,4, Сан-Франциско

  7.  5.1986, М=7,7, Алеуты

1987, M=6,6, М=6,2; Калифорния

[90, 57]

[338]

[58, 383]

[383, 384]

[91]

[383]

[310]

[345]

[275]

[360]

[374]

[241]

[377]

14

15

16

17

18

19

20

   

   3,5

 

 »3,6*

 

 

 

 2 - 2,5

  3 ± 1

   1

неск.

   1

неск.

неск.

неск.

   2

 11.  8.1931, М=8,0, Китай

22.  7.1967, М=7,1, Турция

10.12.1967, M=5,3, Индия

27.  7.1976, М=7,7, Китай

24.11.1976, М=7,3, Турция

  4.  3.1977, М=7,3, Румыния

  4.  3.1983, М=5,7, Туркмения

[385]

[360]

[302]

[360]

[360]

[276]

[75]

 

Примечание: N - число выделенных на сейсмограммах мировой сети вступлений, «неск.» - несколько, V - скорость вспарывания,  *) значение скорости равно V=0,9VS, откуда при скорости поперечных волн VS»4 км/сек получаем V»3,6 км/сек,   - среднее значение скорости вспарывания и среднеквадратичный разброс, определенные по всем 12 приведенным в таблице значениям.

 

 

 

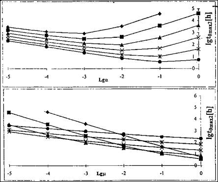
max1,  max2, tVmax, tqmax1, tqmin, tqmax2, и произведения tVmax×Vmax, tqmax1× max1, tqmax2× max2. По рассчитанным значениям строились графики функций, котрорые представлены на рис. П.3.1 – П.3.10.

Рис.П.3.1.  График зависимости tVmax(a, m).

 

Рис. П.3.2. График зависимости Vmax(a, m)

 

 

Рис.П.3.3.  График зависимости tVmax×Vmax(a, m)

 

Рис.П.3.4.  График зависимости tqmax1(a, m)

 

 Рис.П.3.5.  График зависимости qmax1(a, m)

 

 Рис.П.3.6.  График зависимости tqmax× (a, m)

 

 

Рис.П.3.7.  График зависимости tqmin(a, m)

 

 

Рис.П.3.8.  График зависимости tqmax2(a, m)

 

 Рис.П.3.9.  График зависимости (a, m)

 

 Рис.П.3.10.  График зависимости tqmax2× (a, m)

Заключение Оглавление Литература

©IVGG 2003